2022年6月江苏省扬州技师学院公开招聘教师等专业技术人员面试通知
关于2022年江苏省扬州技师学院公开招聘教师等专业技术人员面试工作相关通知如下:
面试时间:2022年7月10日上午08:30
面试地点:江都路558号江苏扬州技师学院路西校区
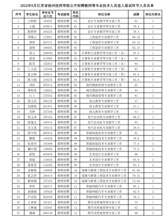
附:《江苏省扬州技师学院公开招聘教师等专业技术人员面试环节人员名单》
附件:2022年6月江苏省扬州技师学院公开招聘教师等专业技术人员面试环节人员名单.pdf

附件下载:暂无下载地址
相关文章
- 04-02江苏省扬州技师学院社会培训招生项目
- 03-092025年12月江苏省扬州技师学院公开招聘教师资格复审及面试通知
- 01-102025年江苏省扬州技师学院公开招聘优秀技能人才面试成绩
- 01-102025年12月江苏省扬州技师学院公开招聘教师进入面试资格复审人员名单
- 01-052025年12月江苏省扬州技师学院公开招聘教师试讲通知
- 12-272025年12月江苏省扬州技师学院公开招聘教师笔试成绩及01、04、05岗位进入试讲环节人员名单公告
- 12-162025年12月江苏省扬州技师学院公开招聘教师笔试通知
- 12-122025年12月江苏省扬州技师学院公开招聘教师岗位非原列专业范围可报考专业名称公布
- 12-092025年12月江苏省扬州技师学院公开招聘教师报名网址
- 12-052025年12月江苏省扬州技师学院公开招聘教师公告
